Официальное опубликование правовых актов
ОФИЦИАЛЬНОЕ ОПУБЛИКОВАНИЕ
Приказ администрации Краснодарского края от 18.12.2025 № 1674-КН
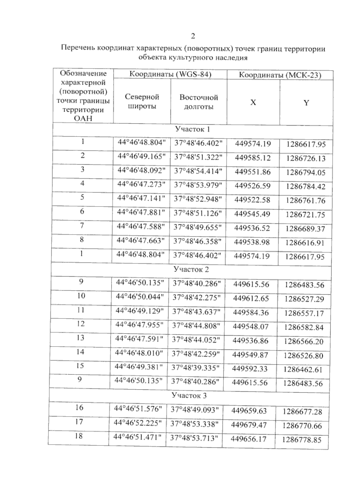
"Об утверждении границ и режима использования территории объекта культурного наследия федерального значения "Курганная группа (116 насыпей)", Краснодарский край, г. Новороссийск, Неберджаевское водохранилище, юго–западный берег"
Номер опубликования: 2301202512230010
Дата опубликования: 23.12.2025
Страница №4 из 6:
Увеличить