Официальное опубликование правовых актов
ОФИЦИАЛЬНОЕ ОПУБЛИКОВАНИЕ
Приказ администрации Краснодарского края от 17.12.2025 № 1640-КН
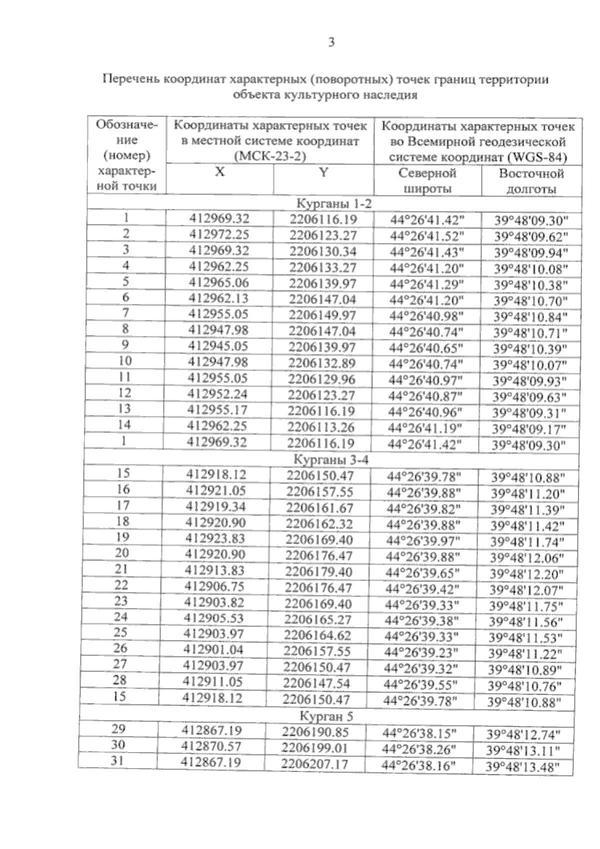
"О включении объекта "Курганная группа "Зозулин 5", Краснодарский край, Апшеронский район, в 1,37-1,43 км к западу от х. Зазулин, в перечень выявленных объектов культурного наследия Краснодарского края, утверждении его границ и режима использования территории"
Номер опубликования: 2301202512230030
Дата опубликования: 23.12.2025
Страница №5 из 8:
Увеличить