Официальное опубликование правовых актов
ОФИЦИАЛЬНОЕ ОПУБЛИКОВАНИЕ
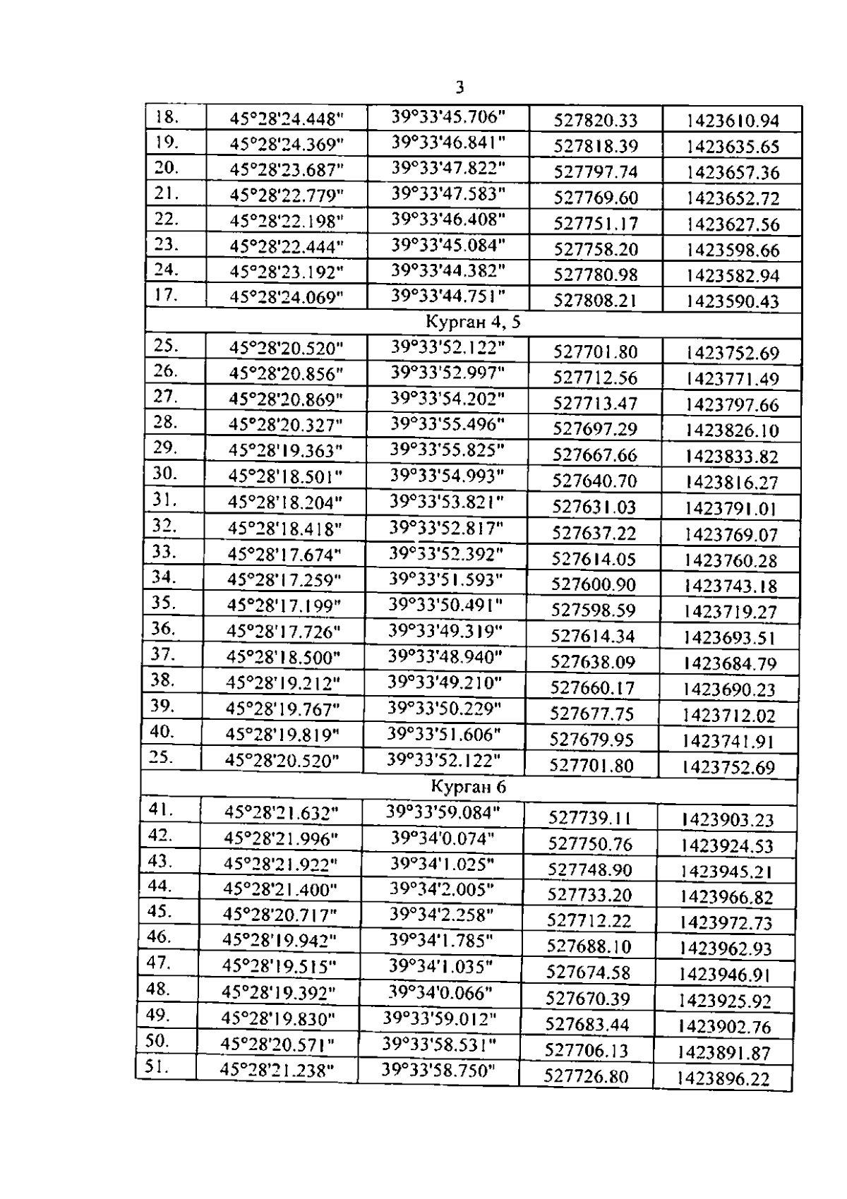
Приказ администрации Краснодарского края от 17.12.2025 № 1656-КН
"Об утверждении границ и режима использования территории объекта культурного наследия федерального значения "Курганная группа "Бураковский–4" (8 насыпей)", эпоха бронзы – средневековье, Краснодарский край, Кореновский район, х. Бураковский, 0,65 км к северо–северо–западу от хутора"
Номер опубликования: 2301202512230040
Дата опубликования: 23.12.2025
Страница №5 из 7:
Увеличить