Приказ администрации Краснодарского края от 22.12.2025 № 1704-КН
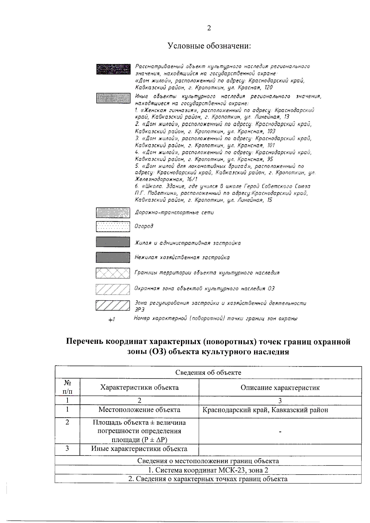
"Об установлении зон охраны, утверждении режимов использования земель и требований к градостроительным регламентам в границах территорий данных зон объекта культурного наследия регионального значения "Дом жилой", начало XX в., Краснодарский край, Кавказский район, г. Кропоткин, ул. Красная, 120"
"Об установлении зон охраны, утверждении режимов использования земель и требований к градостроительным регламентам в границах территорий данных зон объекта культурного наследия регионального значения "Дом жилой", начало XX в., Краснодарский край, Кавказский район, г. Кропоткин, ул. Красная, 120"
Номер опубликования: 2301202512240025
Дата опубликования:
24.12.2025
