Официальное опубликование правовых актов
ОФИЦИАЛЬНОЕ ОПУБЛИКОВАНИЕ
Приказ администрации Краснодарского края от 22.12.2025 № 1713-КН
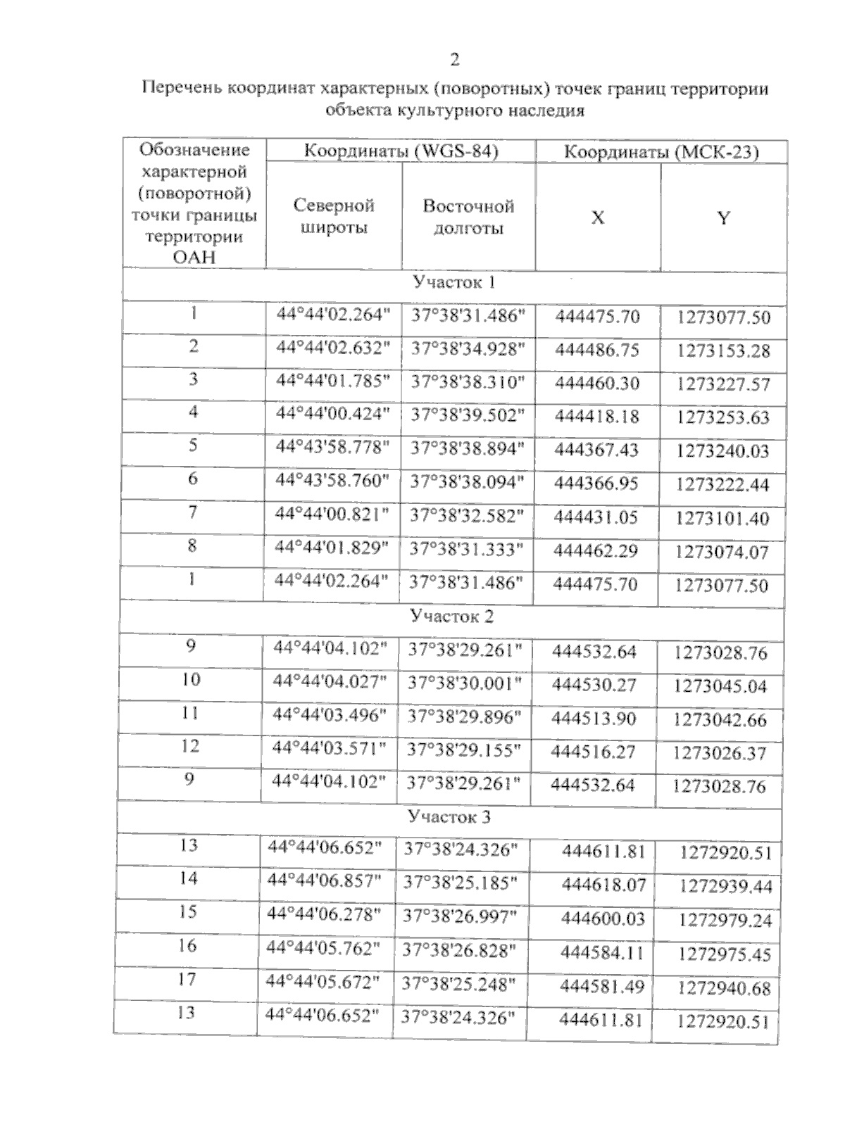
"Об утверждении границ и режима использования территории объекта культурного наследия федерального значения "Курганная группа № 1", XIII – XV вв. н.э., Краснодарский край, г. Новороссийск, с. Васильевка, 1,5 км к западу от села"
Номер опубликования: 2301202512240053
Дата опубликования: 24.12.2025
Страница №4 из 6:
Увеличить