Официальное опубликование правовых актов
ОФИЦИАЛЬНОЕ ОПУБЛИКОВАНИЕ
Приказ администрации Краснодарского края от 21.01.2026 № 24-КН
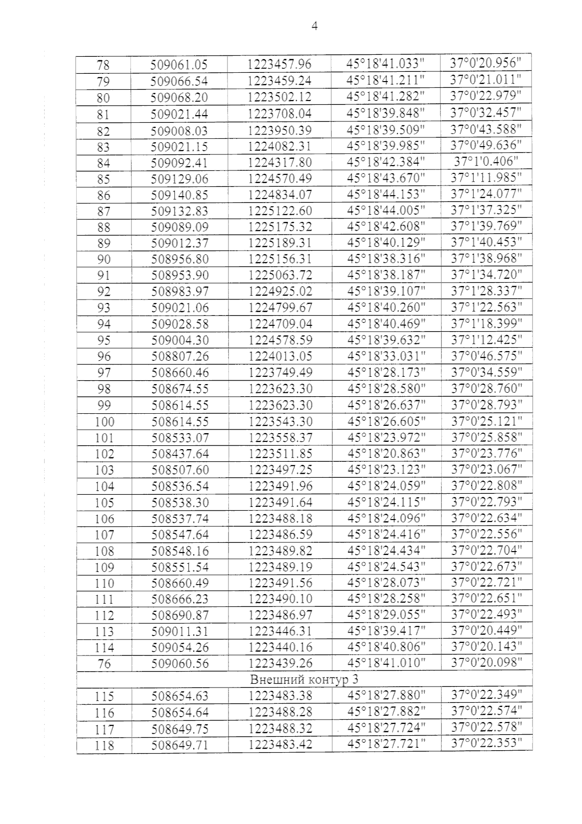
"О внесении изменений в приказ администрации Краснодарского края от 14.07.2022 № 563-кн "Об утверждении границ и режима использования территории объекта культурного наследия федерального значения "Городище "Кепы", VI–II вв. до н.э., Краснодарский край, Темрюкский район, п. Сенной, северная часть поселка, берег Таманского залива"
Номер опубликования: 2301202601270006
Дата опубликования: 27.01.2026
Страница №6 из 8:
Увеличить