Официальное опубликование правовых актов
ОФИЦИАЛЬНОЕ ОПУБЛИКОВАНИЕ
Приказ администрации Краснодарского края от 27.01.2026 № 36-КН
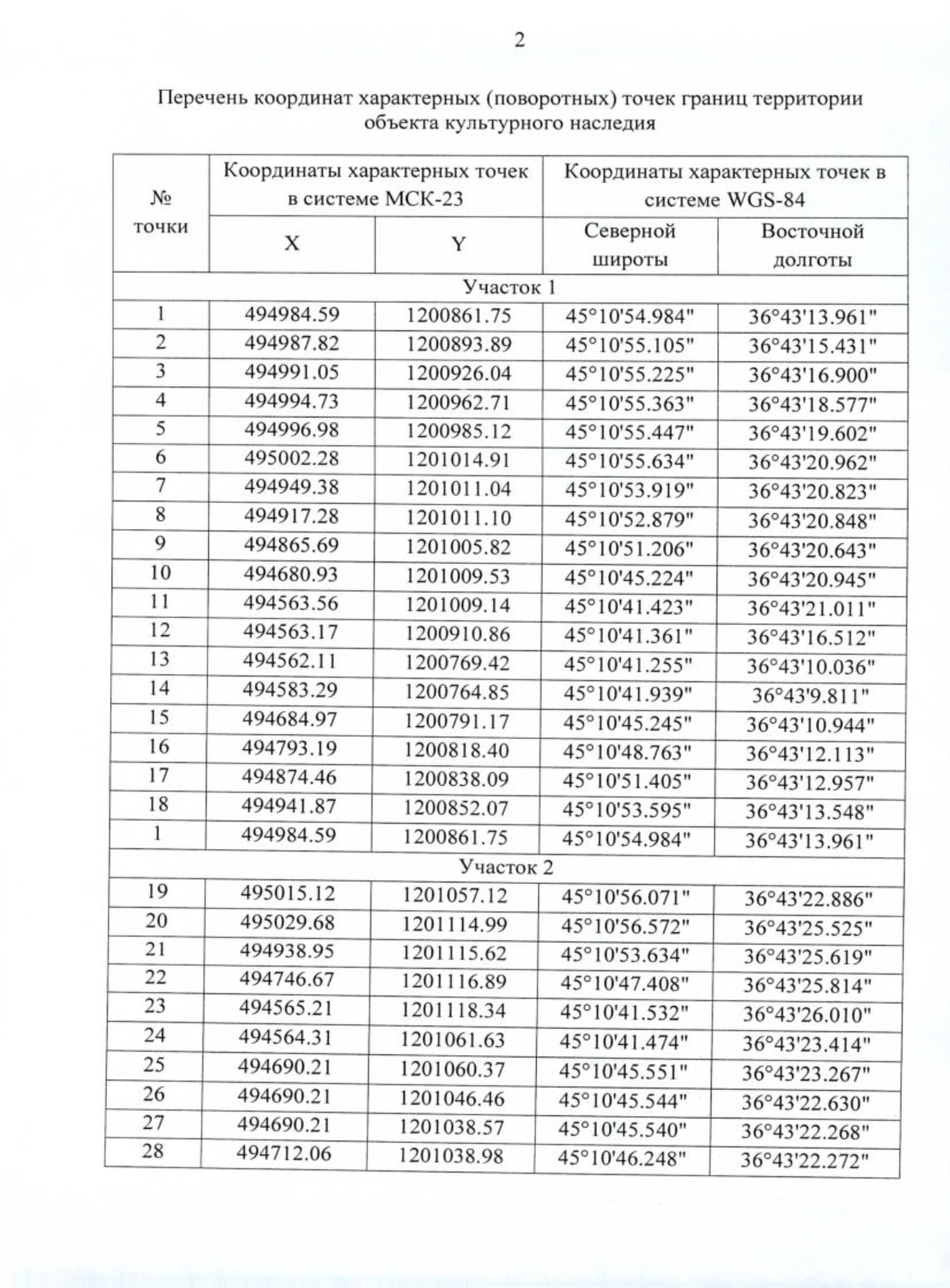
"О внесении изменений в приказ администрации Краснодарского края от 17.04.2024 № 350-кн "Об утверждении границ и режима использования территории выявленного объекта культурного наследия "Поселение "Чеботарева-1", Краснодарский край, Темрюкский район, в 2,3 км к юго-западу от автомобильной развязки федеральной автодороги А290 Новороссийск-Керчь и дороги регионального значения ст-ца Тамань – ст-ца Вышестеблиевская"
Номер опубликования: 2301202601300007
Дата опубликования: 30.01.2026
Страница №4 из 5:
Увеличить