Официальное опубликование правовых актов
ОФИЦИАЛЬНОЕ ОПУБЛИКОВАНИЕ
Приказ администрации Краснодарского края от 27.01.2026 № 34-КН
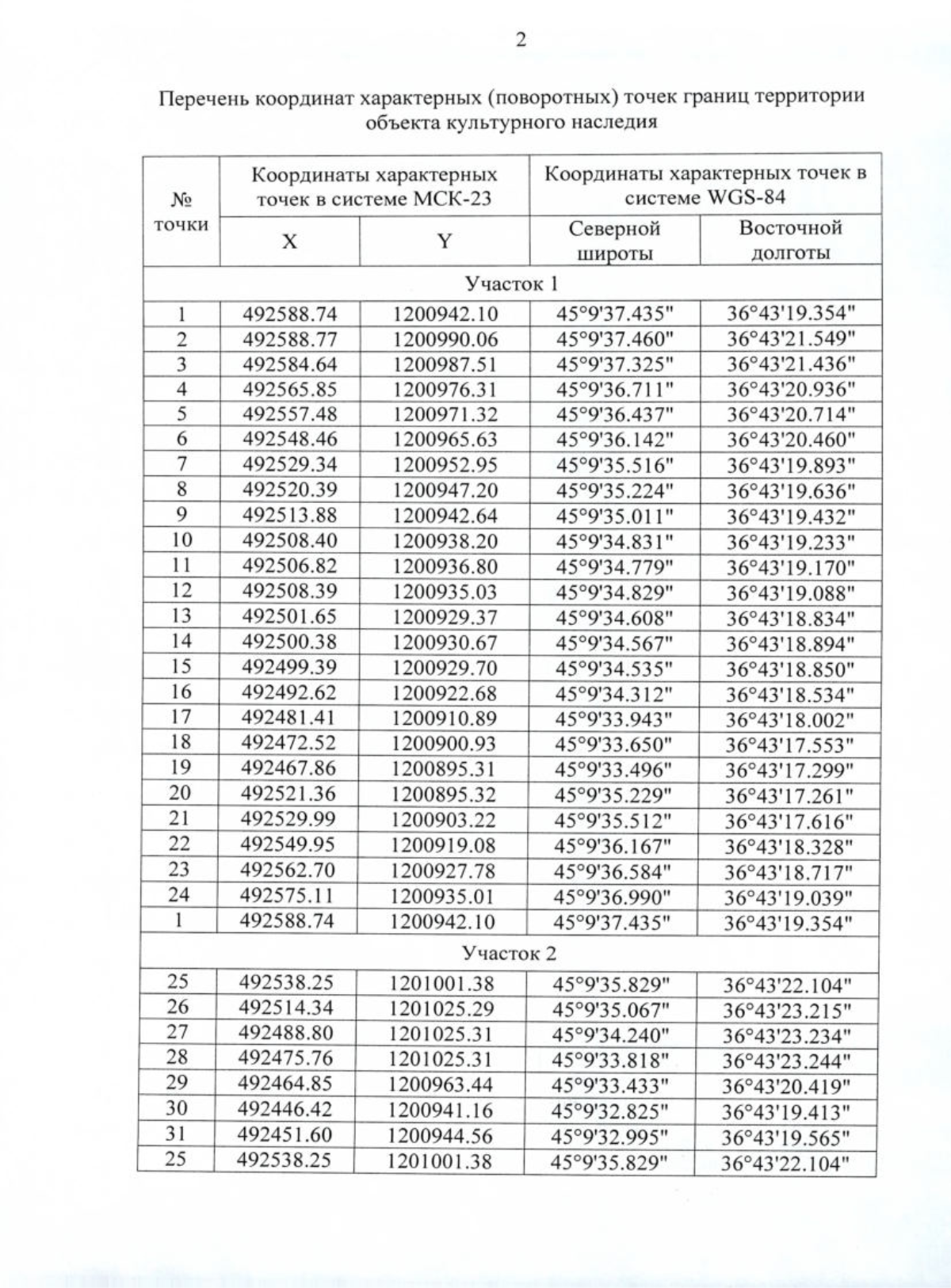
"О внесении изменений в приказ администрации Краснодарского края от 17.04.2024 № 349-кн "Об утверждении границ и режима использования территории выявленного объекта культурного наследия "Поселение "Волна 9", Краснодарский край, Темрюкский район, п. Волна, 3,3 км к северо-северо-востоку от северо-западной окраины поселка"
Номер опубликования: 2301202601300010
Дата опубликования: 30.01.2026
Страница №4 из 5:
Увеличить