Официальное опубликование правовых актов
ОФИЦИАЛЬНОЕ ОПУБЛИКОВАНИЕ
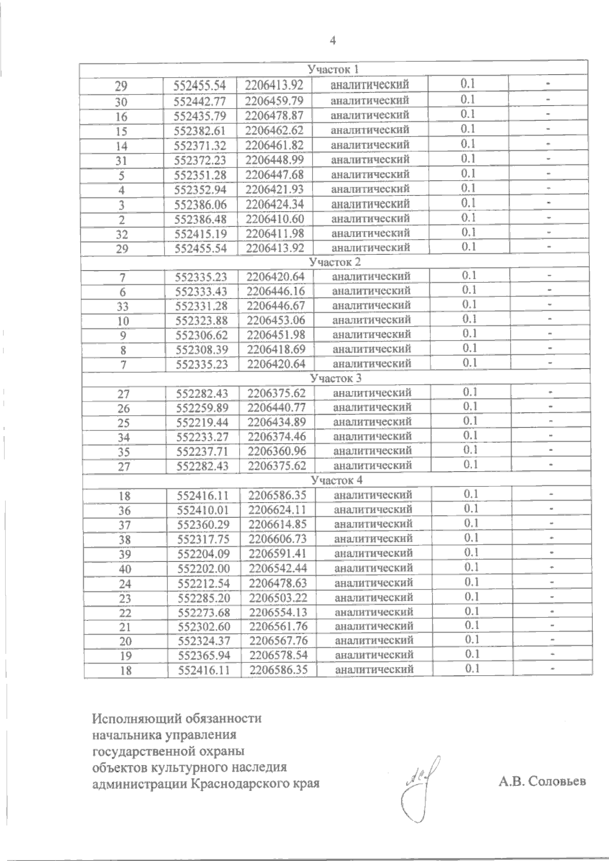
Приказ администрации Краснодарского края от 25.02.2026 № 167-КН
"Об установлении зон охраны, утверждении режимов использования земель и требований к градостроительным регламентам в границах территорий данных зон объекта культурного наследия регионального значения "Церковь", 1902 г., Краснодарский край, Выселковский район, станица Новодонецкая, ул. Комсомольская, 32"
Номер опубликования: 2301202603030023
Дата опубликования: 03.03.2026
Страница №6 из 9:
Увеличить