Официальное опубликование правовых актов
ОФИЦИАЛЬНОЕ ОПУБЛИКОВАНИЕ
Приказ администрации Краснодарского края от 03.03.2026 № 210-КН
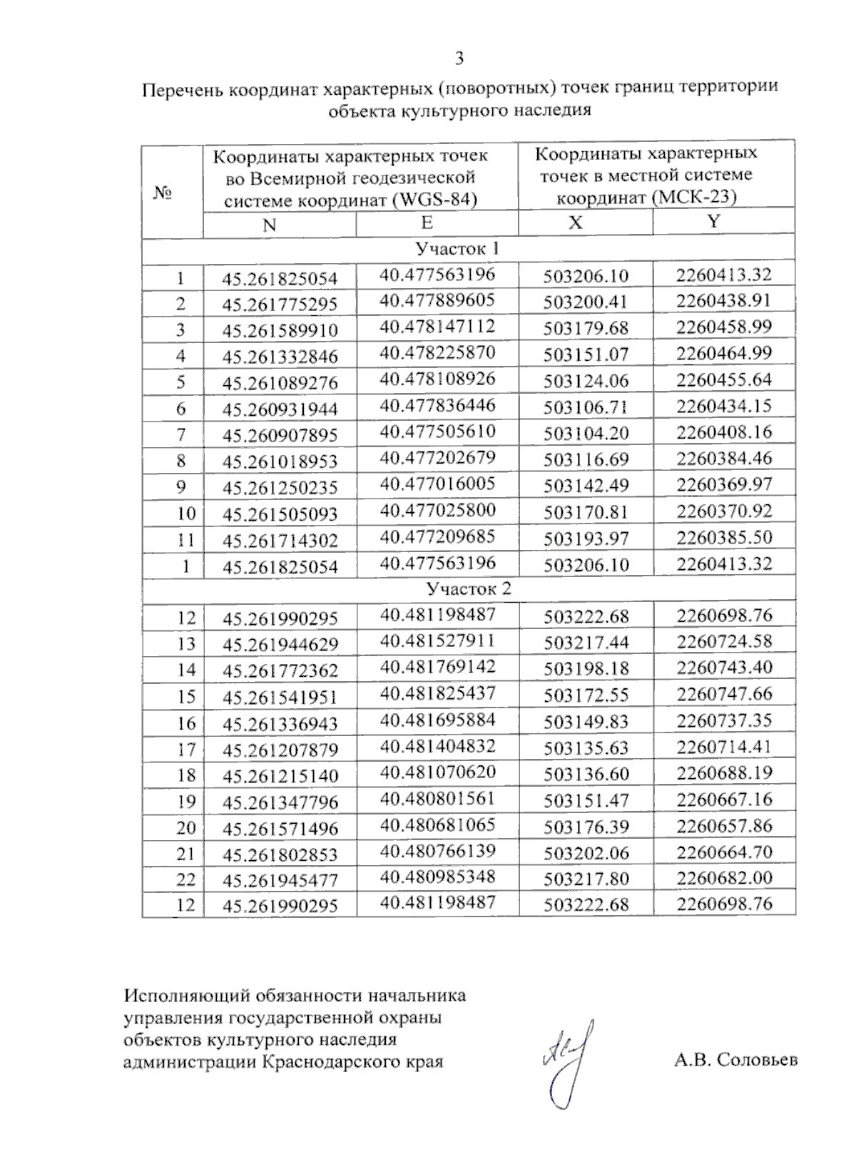
"Об утверждении границ и режима использования территории объекта культурного наследия федерального значения "Курганная группа "Орловская 3" (2 насыпи)", эпоха бронзы – позднее средневековье, Краснодарский край, Гулькевичский район, х. Орлов, 1,55 км к северу от северо–западного угла хутора"
Номер опубликования: 2301202603050008
Дата опубликования: 05.03.2026
Страница №5 из 6:
Увеличить