Приказ администрации Краснодарского края от 03.03.2026 № 212-КН
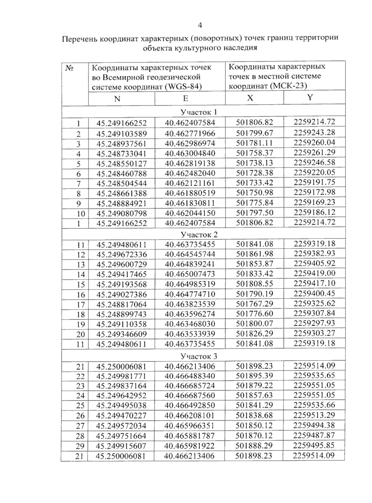
"Об утверждении границ и режима использования территории объекта культурного наследия федерального значения "Курганная группа "Орловская 5" (8 насыпей)", эпоха бронзы – позднее средневековье, Краснодарский край, Гулькевичский район, х. Орлов, 1,05 км к северо–западу от северо–западного угла хутора"
"Об утверждении границ и режима использования территории объекта культурного наследия федерального значения "Курганная группа "Орловская 5" (8 насыпей)", эпоха бронзы – позднее средневековье, Краснодарский край, Гулькевичский район, х. Орлов, 1,05 км к северо–западу от северо–западного угла хутора"
Номер опубликования: 2301202603050010
Дата опубликования:
05.03.2026
