Официальное опубликование правовых актов
ОФИЦИАЛЬНОЕ ОПУБЛИКОВАНИЕ
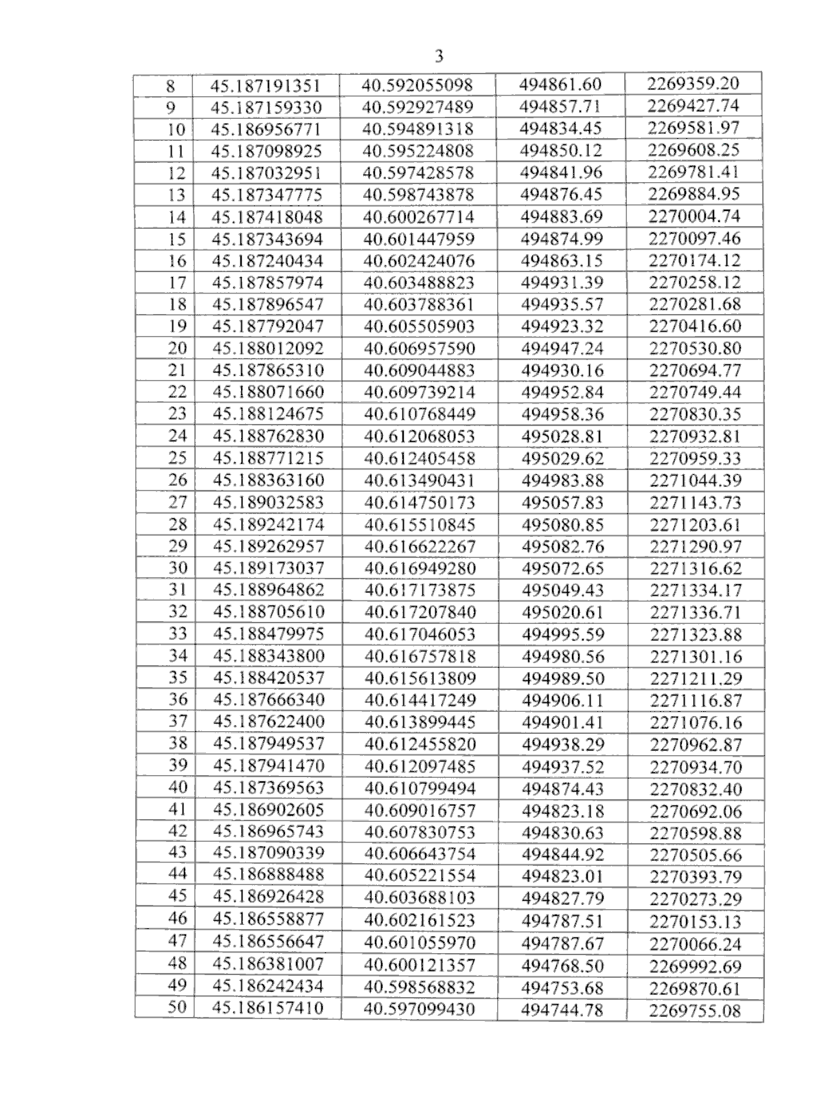
Приказ администрации Краснодарского края от 05.03.2026 № 236-КН
"Об утверждении границ и режима использования территории объекта культурного наследия федерального значения "Курганная группа "Пушкинская 1" (34 насыпи)", эпоха бронзы – позднее средневековье, Краснодарский край, Гулькевичский район, с. Пушкинское, 1,5 км к северо–западу от северо–западного угла села, 1,25 км к северу от северо–восточного угла села"
Номер опубликования: 2301202603110013
Дата опубликования: 11.03.2026
Страница №5 из 7:
Увеличить