Приказ министерства транспорта и дорожного хозяйства Краснодарского края от 05.03.2026 № 70
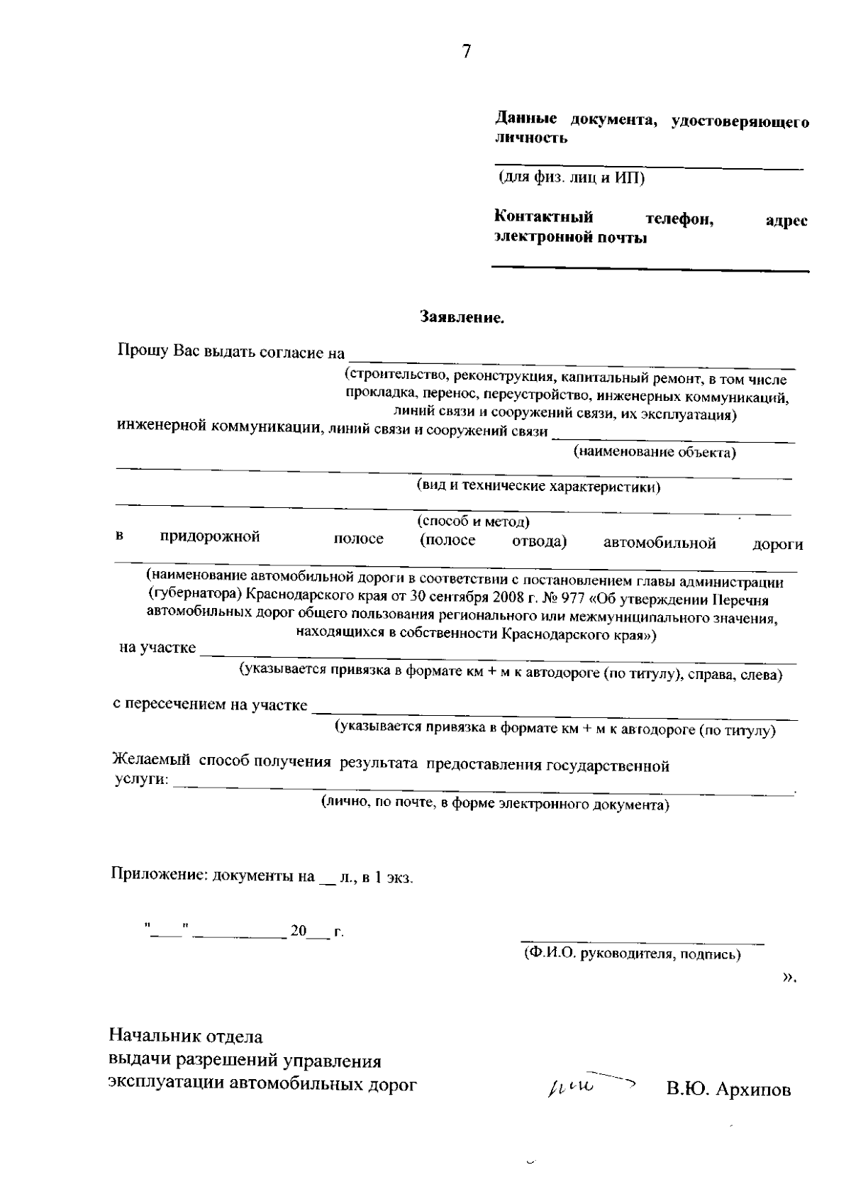
"О внесении изменений в приказ министерства транспорта и дорожного хозяйства Краснодарского края от 21 июня 2016 г. № 279 "Об утверждении административного регламента предоставления государственной услуги "Выдача согласия на прокладку, перенос или переустройство инженерных коммуникаций, их эксплуатацию в границах придорожных полос, прокладку, перенос или переустройство инженерных коммуникаций в границах полос отвода автомобильных дорог регионального или межмуниципального значения, находящихся в государственной собственности Краснодарского края"
"О внесении изменений в приказ министерства транспорта и дорожного хозяйства Краснодарского края от 21 июня 2016 г. № 279 "Об утверждении административного регламента предоставления государственной услуги "Выдача согласия на прокладку, перенос или переустройство инженерных коммуникаций, их эксплуатацию в границах придорожных полос, прокладку, перенос или переустройство инженерных коммуникаций в границах полос отвода автомобильных дорог регионального или межмуниципального значения, находящихся в государственной собственности Краснодарского края"
Номер опубликования: 2301202603120003
Дата опубликования:
12.03.2026
