Приказ администрации Краснодарского края от 06.03.2026 № 254-КН
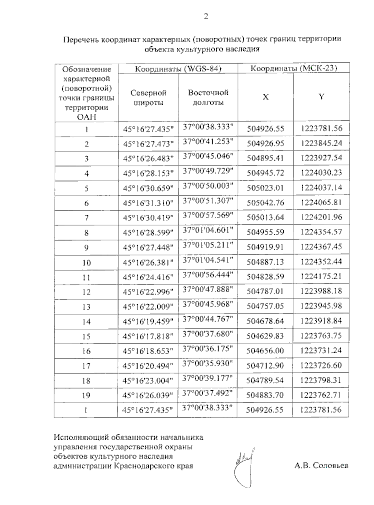
"О включении объекта "Курганная группа "Сенной 128", Краснодарский край, Темрюкский район, п. Сенной, 2,17 км к юго-востоку от здания школы № 8 в поселке, в перечень выявленных объектов культурного наследия Краснодарского края, утверждении его границ и режима использования территории"
"О включении объекта "Курганная группа "Сенной 128", Краснодарский край, Темрюкский район, п. Сенной, 2,17 км к юго-востоку от здания школы № 8 в поселке, в перечень выявленных объектов культурного наследия Краснодарского края, утверждении его границ и режима использования территории"
Номер опубликования: 2301202603130003
Дата опубликования:
13.03.2026
