Официальное опубликование правовых актов
ОФИЦИАЛЬНОЕ ОПУБЛИКОВАНИЕ
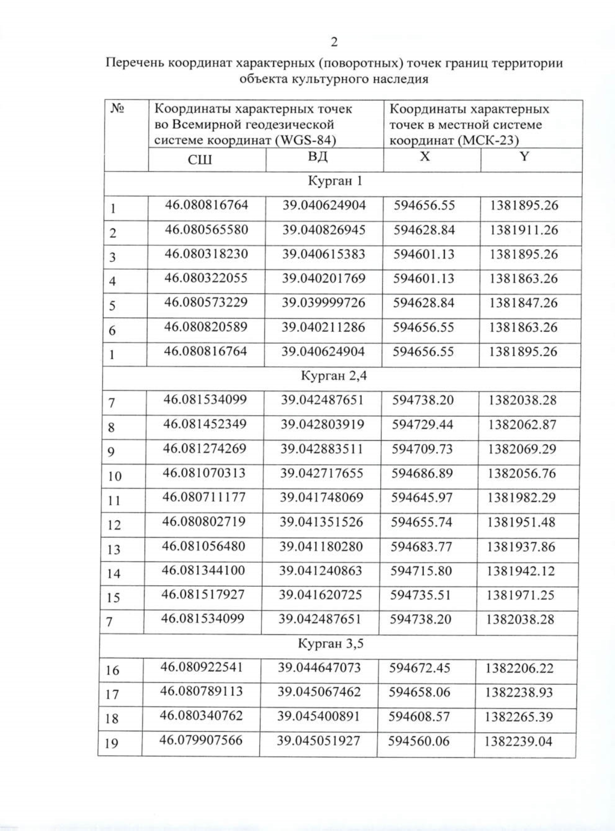
Приказ администрации Краснодарского края от 16.03.2026 № 298-КН
"Об утверждении границ и режима использования территории объекта культурного наследия федерального значения "Курганная группа "Средние Челбасы 11" (6 насыпей)", эпоха бронзы – позднее средневековье, Краснодарский край, Каневской район, ст–ца Каневская, 3,8 км к востоко–северо–востоку от восточной окраины станицы"
Номер опубликования: 2301202603180002
Дата опубликования: 18.03.2026
Страница №4 из 6:
Увеличить