Официальное опубликование правовых актов
ОФИЦИАЛЬНОЕ ОПУБЛИКОВАНИЕ
Приказ администрации Краснодарского края от 19.03.2026 № 339-КН
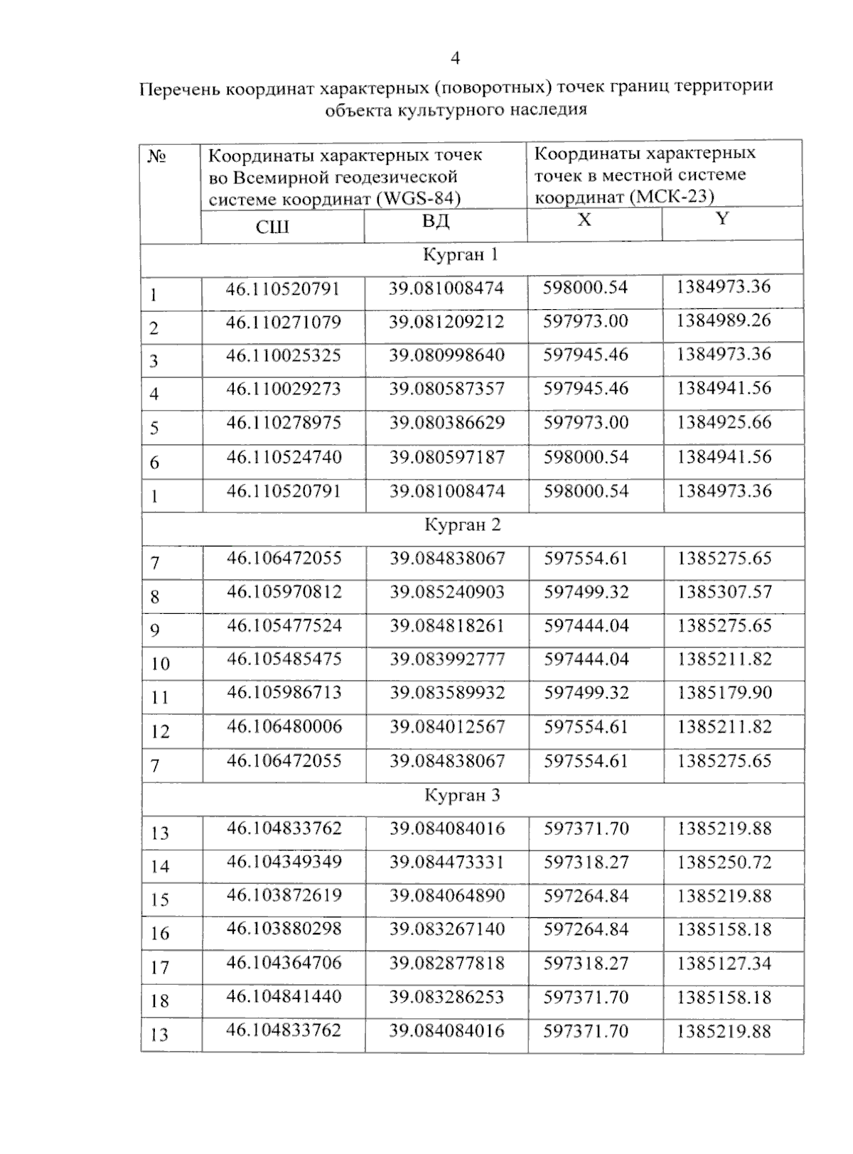
"Об утверждении границ и режима использования территории объекта культурного наследия федерального значения "Курганная группа "Средние Челбасы 18" (5 насыпей)", эпоха бронзы – позднее средневековье, Краснодарский край, Каневской район, х. Бурсаки, 2,4 км к западо–юго–западу от хутора"
Номер опубликования: 2301202603240022
Дата опубликования: 24.03.2026
Страница №6 из 8:
Увеличить