Официальное опубликование правовых актов
ОФИЦИАЛЬНОЕ ОПУБЛИКОВАНИЕ
Приказ администрации Краснодарского края от 19.03.2026 № 341-КН
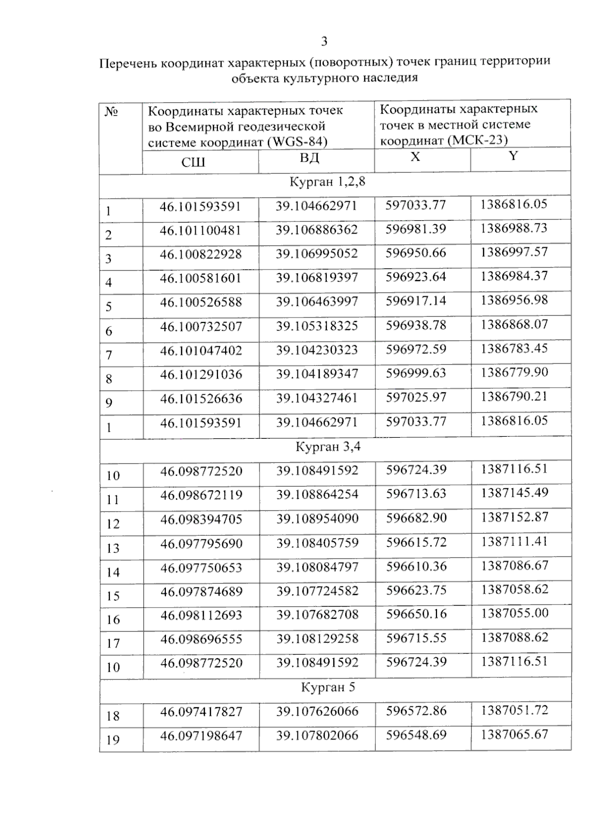
"Об утверждении границ и режима использования территории объекта культурного наследия федерального значения "Курганная группа "Средние Челбасы 20" (10 насыпей)", эпоха бронзы – позднее средневековье, Краснодарский край, Каневской район, х. Бурсаки, 1,4 км к юго–юго–западу от хутора"
Номер опубликования: 2301202603240023
Дата опубликования: 24.03.2026
Страница №5 из 7:
Увеличить