Официальное опубликование правовых актов
ОФИЦИАЛЬНОЕ ОПУБЛИКОВАНИЕ
Приказ администрации Краснодарского края от 26.03.2026 № 390-КН
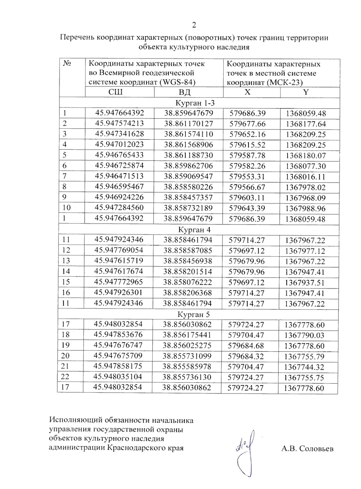
"Об утверждении границ и режима использования территории объекта культурного наследия федерального значения "Курганная группа "Чепигинская 2" (5 насыпей)", эпоха бронзы –средневековье, Краснодарский край, Брюховецкий район, ст–ца Чепигинская, 0,8 км к северо–северо–западу от станицы"
Номер опубликования: 2301202603310005
Дата опубликования: 31.03.2026
Страница №4 из 5:
Увеличить