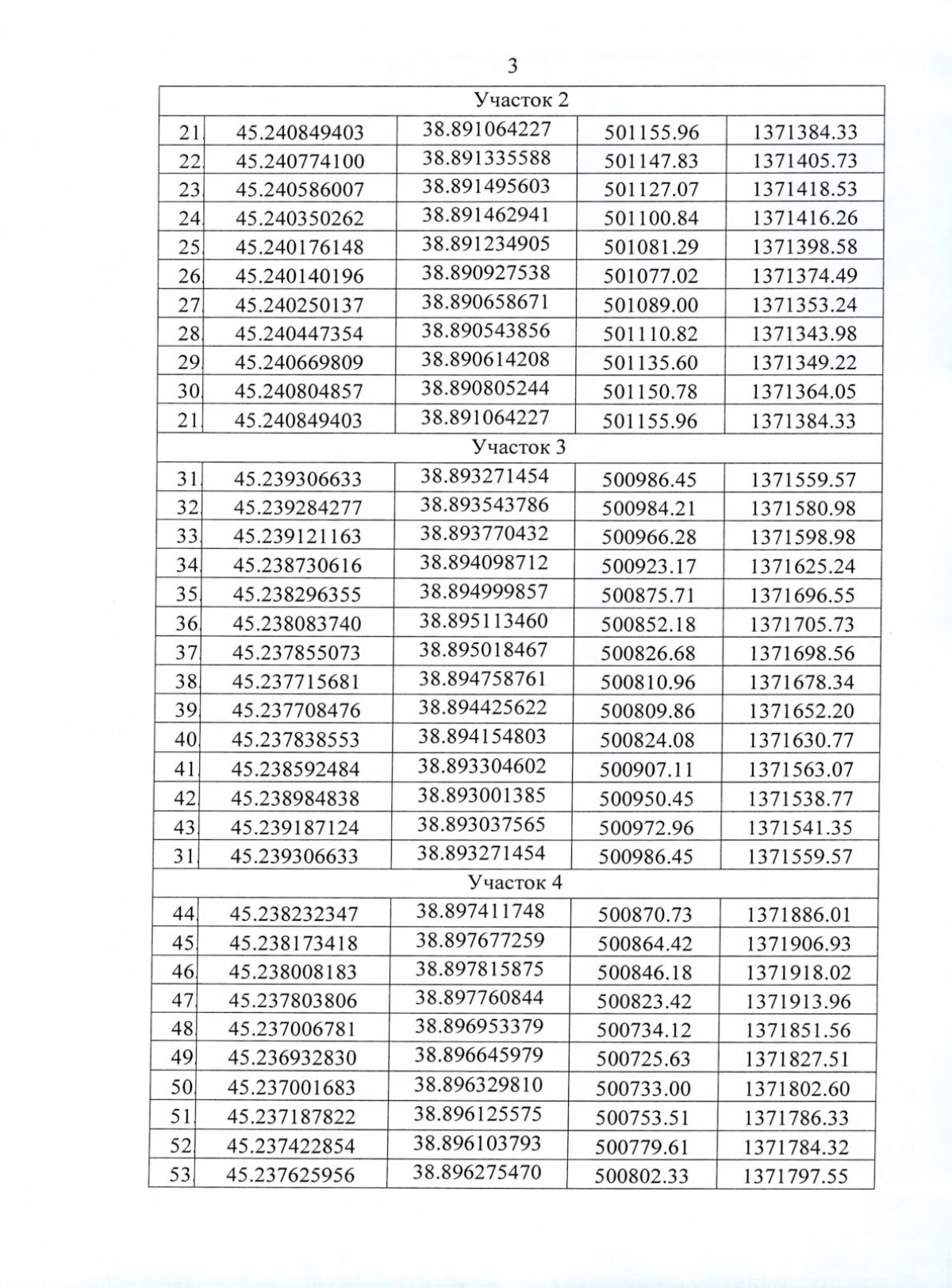
Приказ администрации Краснодарского края от 26.03.2026 № 395-КН
"Об утверждении границ и режима использования территории объекта культурного наследия федерального значения "Курганная группа "Новотитаровская 6" (17 насыпей)", эпоха железа, Краснодарский край, Динской район, ст–ца Новотитаровская, ул. Выгонная, 0,25 км к западу от северо–западной окраины станицы"
"Об утверждении границ и режима использования территории объекта культурного наследия федерального значения "Курганная группа "Новотитаровская 6" (17 насыпей)", эпоха железа, Краснодарский край, Динской район, ст–ца Новотитаровская, ул. Выгонная, 0,25 км к западу от северо–западной окраины станицы"
Номер опубликования: 2301202603310010
Дата опубликования:
31.03.2026
