Официальное опубликование правовых актов
ОФИЦИАЛЬНОЕ ОПУБЛИКОВАНИЕ
Приказ администрации Краснодарского края от 06.04.2026 № 424-КН
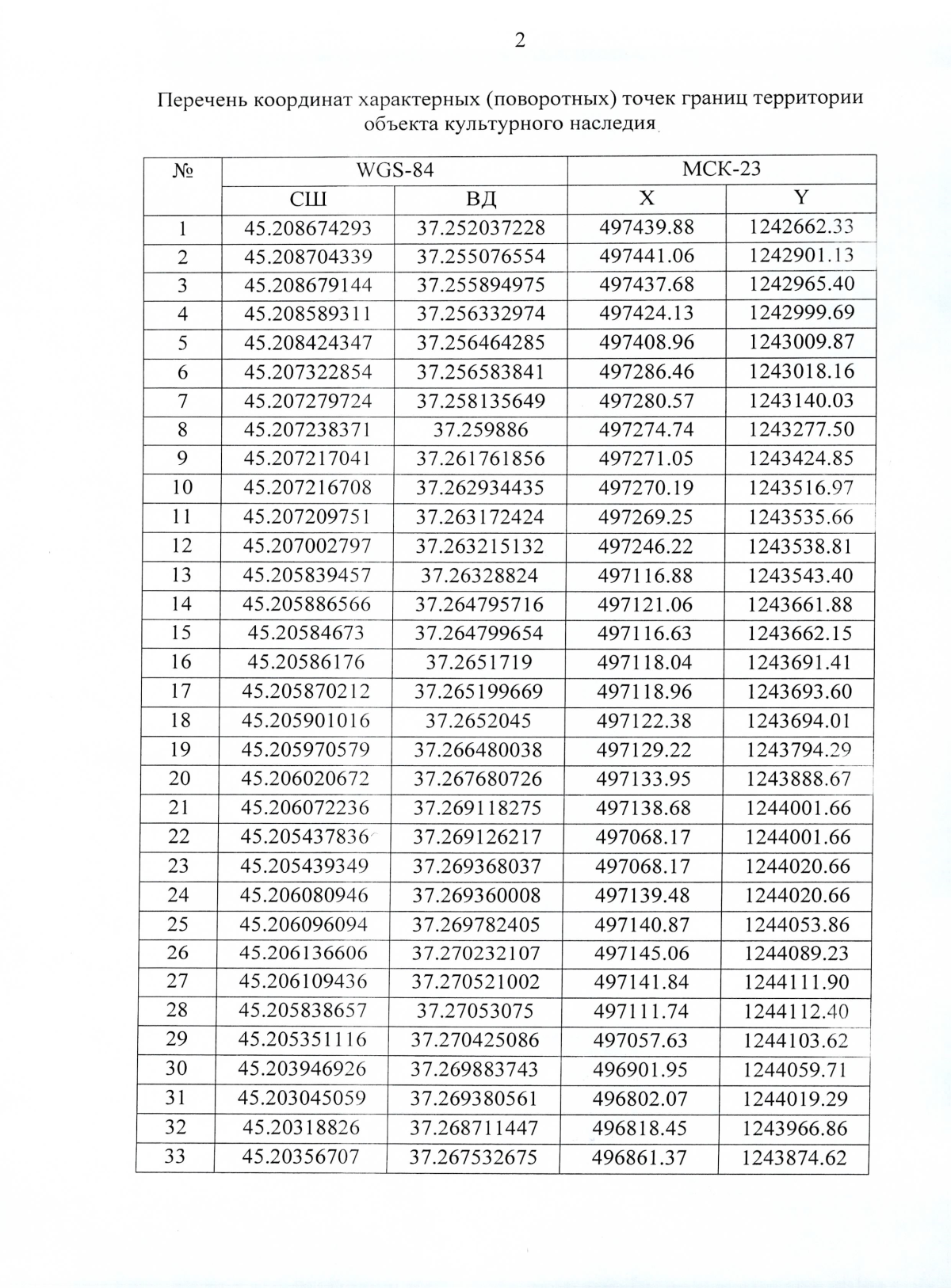
"О внесении изменения в приказ администрации Краснодарского края от 03.10.2025 № 1155-кн "Об утверждении границ и режима использования территории объекта культурного наследия федерального значения "Поселение", Краснодарский край, Темрюкский район, пос. Стрелка, юго–западная окраина поселка"
Номер опубликования: 2301202604090012
Дата опубликования: 09.04.2026
Страница №4 из 5:
Увеличить