Официальное опубликование правовых актов
ОФИЦИАЛЬНОЕ ОПУБЛИКОВАНИЕ
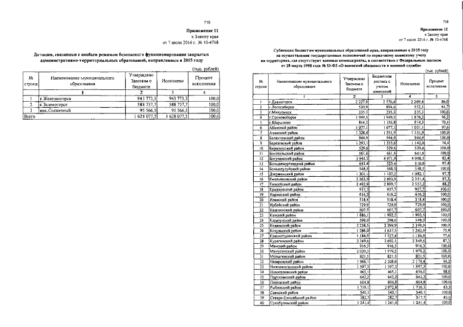
Закон Красноярского края от 07.07.2016 № 10-4768
"Об исполнении краевого бюджета за 2015 год" (принят Законодательным Собранием Красноярского края 07.07.2016, подписан Губернатором Красноярского края 19.07.2016)
Номер опубликования: 2400201607210003
Дата опубликования: 21.07.2016
Страница №360 из 409:
Увеличить