Официальное опубликование правовых актов
ОФИЦИАЛЬНОЕ ОПУБЛИКОВАНИЕ
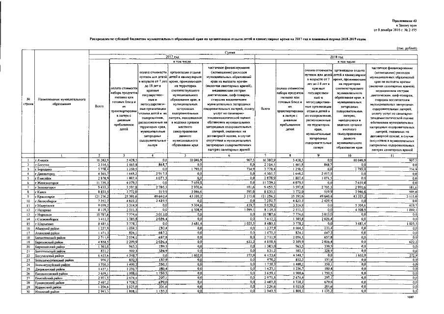
Закон Красноярского края от 08.12.2016 № 2-195
"О краевом бюджете на 2017 год и плановый период 2018-2019 годов" (принят Законодательным Собранием Красноярского края 08.12.2016, подписан Губернатором Красноярского края 20.12.2016)
Номер опубликования: 2400201612260004
Дата опубликования: 26.12.2016
Страница №1687 из 1783:
Увеличить