Официальное опубликование правовых актов
ОФИЦИАЛЬНОЕ ОПУБЛИКОВАНИЕ
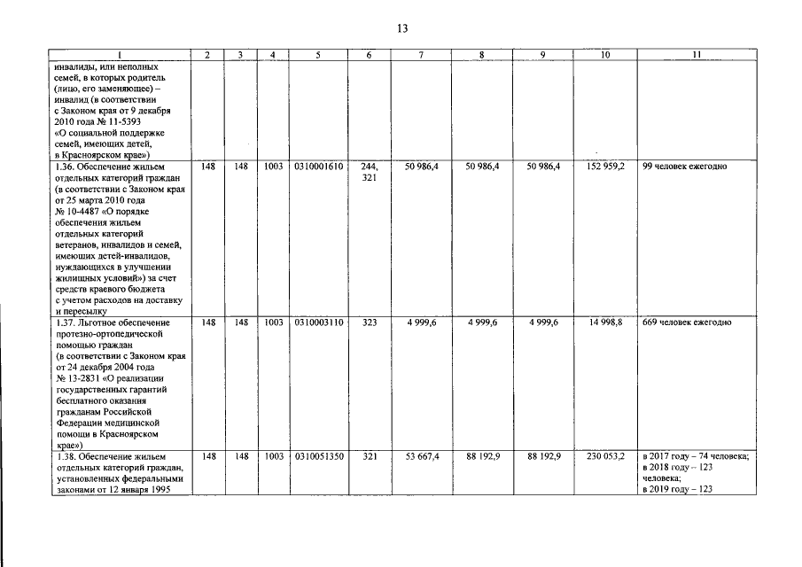
Постановление Правительства Красноярского края от 14.02.2017 № 71-п
"О внесении изменений в постановление Правительства Красноярского края от 30.09.2013 № 507-п "Об утверждении государственной программы Красноярского края "Развитие системы социальной поддержки граждан"
Номер опубликования: 2400201702210001
Дата опубликования: 21.02.2017
Страница №40 из 107:
Увеличить