Официальное опубликование правовых актов
ОФИЦИАЛЬНОЕ ОПУБЛИКОВАНИЕ
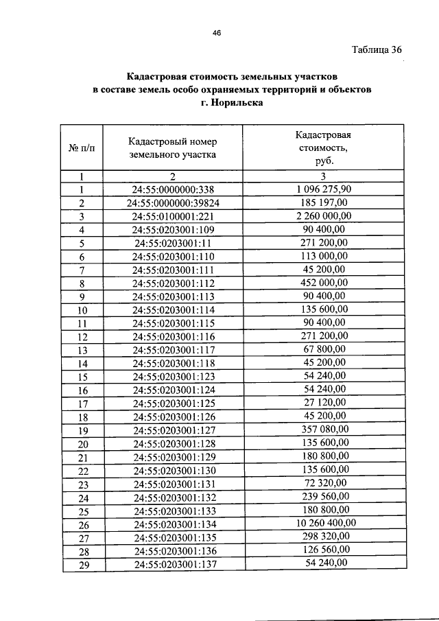
Постановление Правительства Красноярского края от 26.09.2017 № 564-п
"Об утверждении результатов определения кадастровой стоимости земель особо охраняемых территорий и объектов Красноярского края"
Номер опубликования: 2400201710030001
Дата опубликования: 03.10.2017
Страница №47 из 76:
Увеличить