Постановление Правительства Красноярского края от 15.12.2017 № 775-п
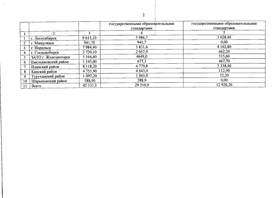
"Об утверждении распределения средств субвенции бюджетам муниципальных образований Красноярского края на обеспечение государственных гарантий реализации прав на получение общедоступного и бесплатного дошкольного образования в муниципальных дошкольных образовательных организациях, расположенных на территории Красноярского края, общедоступного и бесплатного дошкольного образования в муниципальных общеобразовательных организациях, расположенных на территории Красноярского края, не распределенных между муниципальными образованиями Красноярского края, на 2017 год"
"Об утверждении распределения средств субвенции бюджетам муниципальных образований Красноярского края на обеспечение государственных гарантий реализации прав на получение общедоступного и бесплатного дошкольного образования в муниципальных дошкольных образовательных организациях, расположенных на территории Красноярского края, общедоступного и бесплатного дошкольного образования в муниципальных общеобразовательных организациях, расположенных на территории Красноярского края, не распределенных между муниципальными образованиями Красноярского края, на 2017 год"
Номер опубликования: 2400201712190018
Дата опубликования:
19.12.2017
