Официальное опубликование правовых актов
ОФИЦИАЛЬНОЕ ОПУБЛИКОВАНИЕ
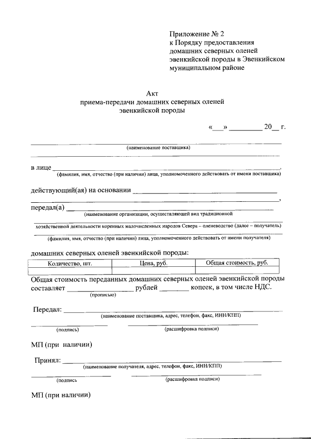
Постановление Правительства Красноярского края от 14.09.2018 № 518-п
"Об утверждении Порядка предоставления домашних северных оленей эвенкийской породы в Эвенкийском муниципальном районе"
Номер опубликования: 2400201809210003
Дата опубликования: 21.09.2018
Страница №10 из 10:
Увеличить