Официальное опубликование правовых актов
ОФИЦИАЛЬНОЕ ОПУБЛИКОВАНИЕ
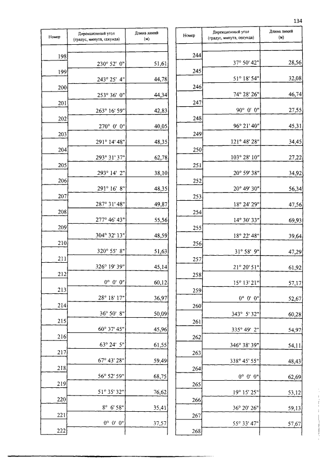
Закон Красноярского края от 20.12.2018 № 6-2405
"О внесении изменений в Закон края "О наделении соответствующим статусом муниципального образования Емельяновский район и находящихся в его составе иных муниципальных образований" и Закон края "Об установлении границ муниципального образования Емельяновский район и находящихся в его составе иных муниципальных образований" (принят Законодательным Собранием Красноярского края 20.12.2018, подписан Губернатором Красноярского края 25.12.2018)
Номер опубликования: 2400201812290010
Дата опубликования: 29.12.2018
Страница №293 из 411:
Увеличить