Официальное опубликование правовых актов
ОФИЦИАЛЬНОЕ ОПУБЛИКОВАНИЕ
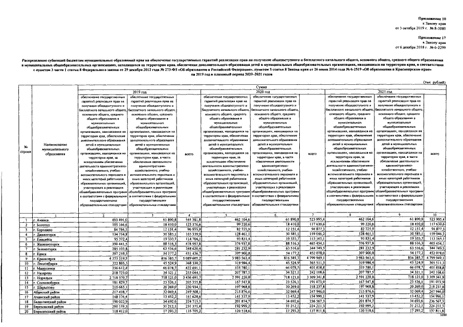
Закон Красноярского края от 03.10.2019 № 8-3080
"О внесении изменений в Закон края "О краевом бюджете на 2019 год и плановый период 2020–2021 годов" (принят Законодательным Собранием Красноярского края 03.10.2019, подписан Губернатором Красноярского края 16.10.2019)
Номер опубликования: 2400201910230001
Дата опубликования: 23.10.2019
Страница №1030 из 1095:
Увеличить