Официальное опубликование правовых актов
ОФИЦИАЛЬНОЕ ОПУБЛИКОВАНИЕ
Указ Губернатора Красноярского края от 01.11.2019 № 300-уг
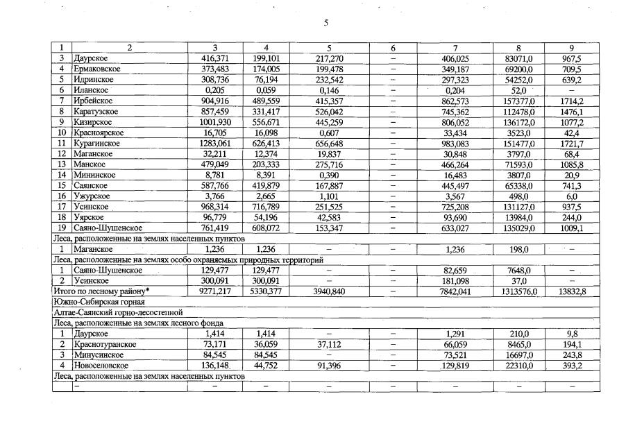
"О внесении изменений в указ Губернатора Красноярского края от 21.12.2018 № 332-уг "Об утверждении лесного плана Красноярского края"
Номер опубликования: 2400201911070002
Дата опубликования: 07.11.2019
Страница №11 из 16:
Увеличить