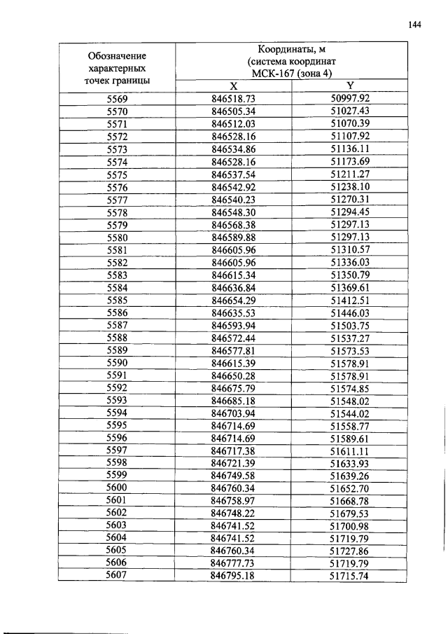
Закон Красноярского края от 18.12.2019 № 8-3433
"О внесении изменений в Закон края "Об установлении границ и наделении соответствующим статусом муниципального образования Пировский район и находящихся в его границах иных муниципальных образований" (принят Законодательным Собранием Красноярского края 05.12.2019, подписан Губернатором Красноярского края 18.12.2019)
"О внесении изменений в Закон края "Об установлении границ и наделении соответствующим статусом муниципального образования Пировский район и находящихся в его границах иных муниципальных образований" (принят Законодательным Собранием Красноярского края 05.12.2019, подписан Губернатором Красноярского края 18.12.2019)
Номер опубликования: 2400201912200001
Дата опубликования:
20.12.2019
