Официальное опубликование правовых актов
ОФИЦИАЛЬНОЕ ОПУБЛИКОВАНИЕ
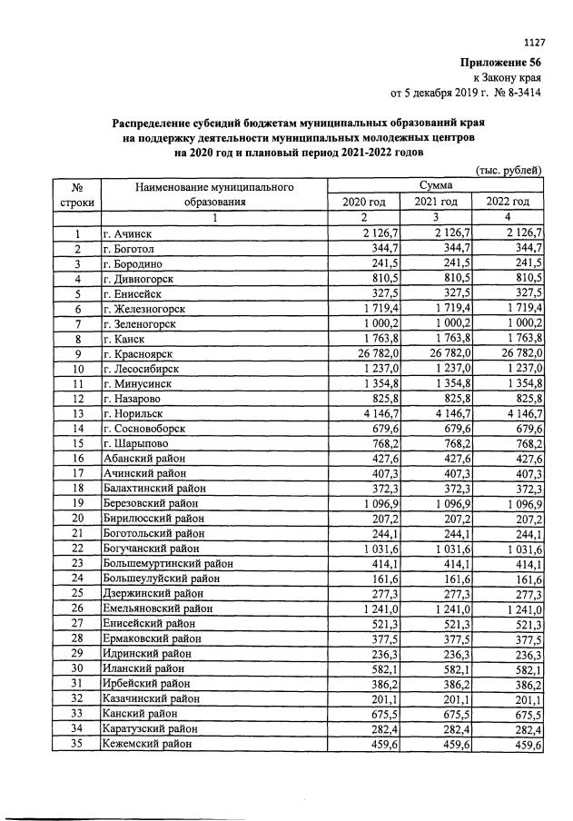
Закон Красноярского края от 05.12.2019 № 8-3414
"О краевом бюджете на 2020 год и плановый период 2021-2022 годов (принят Законодательным Собранием Красноярского края 05.12.2019, подписан Губернатором Красноярского края 18.12.2019)
Номер опубликования: 2400201912200014
Дата опубликования: 20.12.2019
Страница №1127 из 1175:
Увеличить