Официальное опубликование правовых актов
ОФИЦИАЛЬНОЕ ОПУБЛИКОВАНИЕ
Постановление Правительства Красноярского края от 21.01.2020 № 31-п
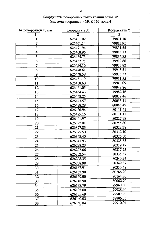
"Об установлении зон охраны объекта культурного наследия регионального значения – ансамбля "Усадьба писателя В.П. Астафьева в поселке Овсянка: дом, флигель, ворота с калиткой, палисадник, сад, скульптурная композиция-памятник "Астафьевы в Овсянке" (работа скульптора В.А. Зеленова)", нач. XX в., 1924–2001 гг., утверждении требований к градостроительным регламентам в границах данных зон"
Номер опубликования: 2400202001270003
Дата опубликования: 27.01.2020
Страница №5 из 12:
Увеличить