Официальное опубликование правовых актов
ОФИЦИАЛЬНОЕ ОПУБЛИКОВАНИЕ
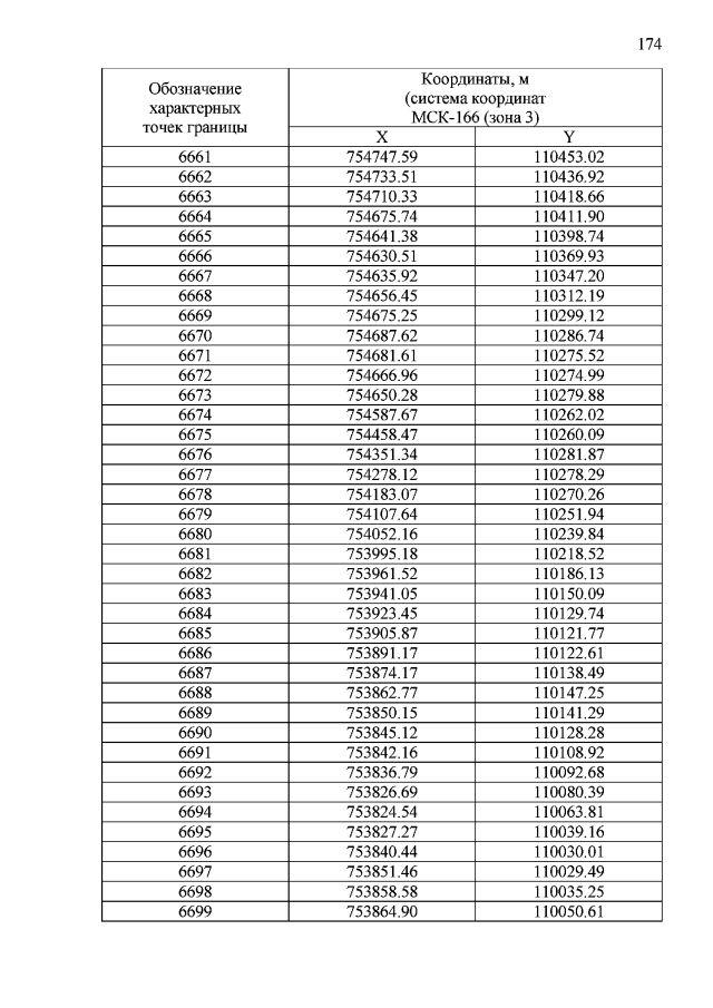
Закон Красноярского края от 20.02.2020 № 9-3648
"О внесении изменений в Закон края "Об установлении границ и наделении соответствующим статусом муниципального образования Тюхтетский район и находящихся в его границах иных муниципальных образований" (принят Законодательным Собранием Красноярского края 20.02.2020, подписан Губернатором Красноярского края 13.03.2020)
Номер опубликования: 2400202003230003
Дата опубликования: 23.03.2020
Страница №174 из 335:
Увеличить