Официальное опубликование правовых актов
ОФИЦИАЛЬНОЕ ОПУБЛИКОВАНИЕ
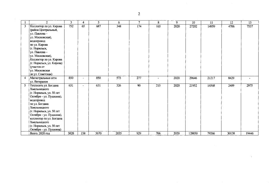
Постановление Правительства Красноярского края от 14.04.2020 № 226-п
"О внесении изменений в постановление Правительства Красноярского края от 30.09.2013 № 503-п "Об утверждении государственной программы Красноярского края "Реформирование и модернизация жилищно-коммунального хозяйства и повышение энергетической эффективности"
Номер опубликования: 2400202004240007
Дата опубликования: 24.04.2020
Страница №24 из 29:
Увеличить