Официальное опубликование правовых актов
ОФИЦИАЛЬНОЕ ОПУБЛИКОВАНИЕ
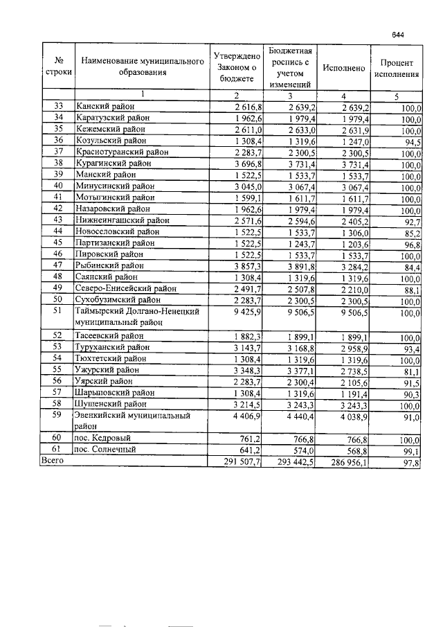
Закон Красноярского края от 09.07.2020 № 9-3974
"Об исполнении краевого бюджета за 2019 год" (принят Законодательным Собранием Красноярского края 09.07.2020, подписан Губернатором Красноярского края 22.07.2020)
Номер опубликования: 2400202007270004
Дата опубликования: 27.07.2020
Страница №644 из 712:
Увеличить