Официальное опубликование правовых актов
ОФИЦИАЛЬНОЕ ОПУБЛИКОВАНИЕ
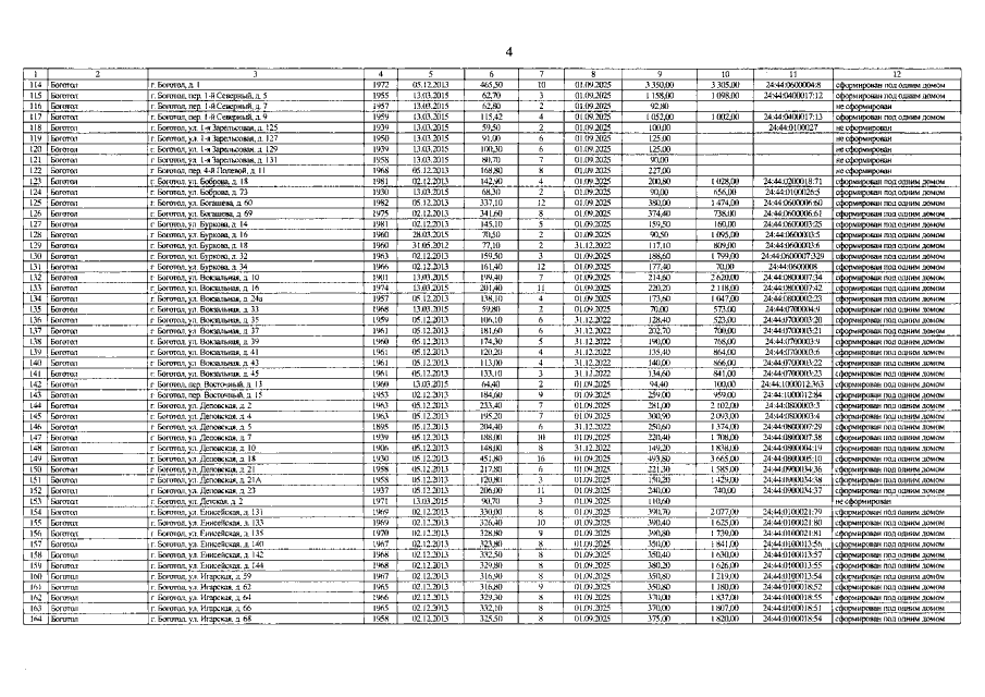
Постановление Правительства Красноярского края от 28.07.2020 № 528-п
"О внесении изменения в постановление Правительства Красноярского края от 29.03.2019 № 144-п "Об утверждении региональной адресной программы "Переселение граждан из аварийного жилищного фонда в Красноярском крае" на 2019–2025 годы"
Номер опубликования: 2400202007310004
Дата опубликования: 31.07.2020
Страница №5 из 23:
Увеличить