Официальное опубликование правовых актов
ОФИЦИАЛЬНОЕ ОПУБЛИКОВАНИЕ
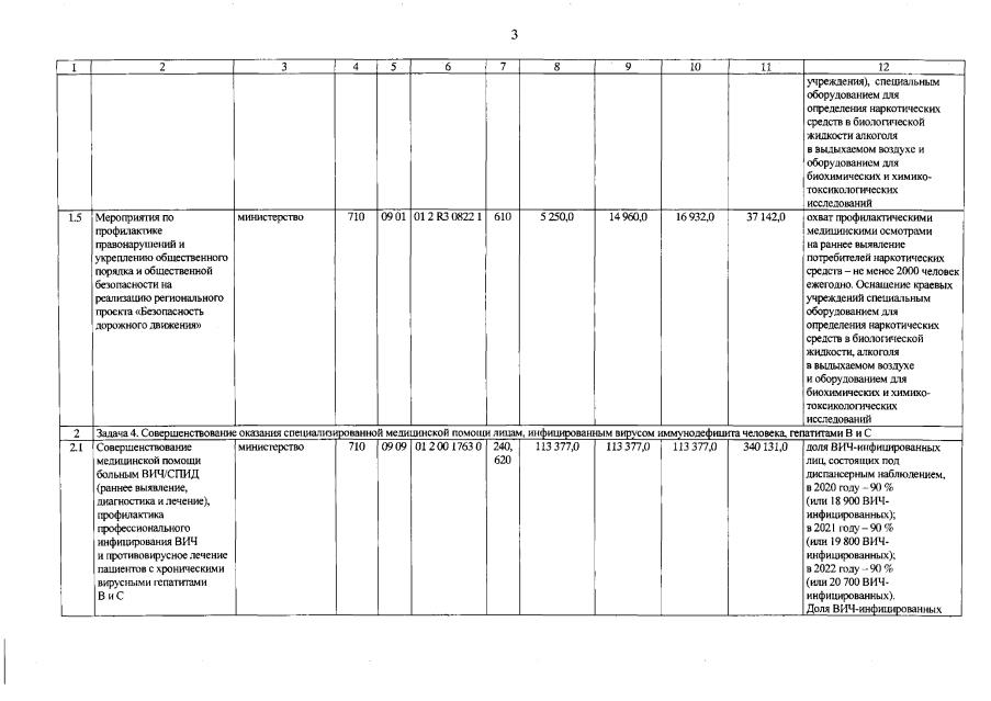
Постановление Правительства Красноярского края от 11.08.2020 № 568-п
"О внесении изменений в постановление Правительства Красноярского края от 30.09.2013 № 516-п "Об утверждении государственной программы Красноярского края "Развитие здравоохранения"
Номер опубликования: 2400202008200006
Дата опубликования: 20.08.2020
Страница №32 из 51:
Увеличить