Официальное опубликование правовых актов
ОФИЦИАЛЬНОЕ ОПУБЛИКОВАНИЕ
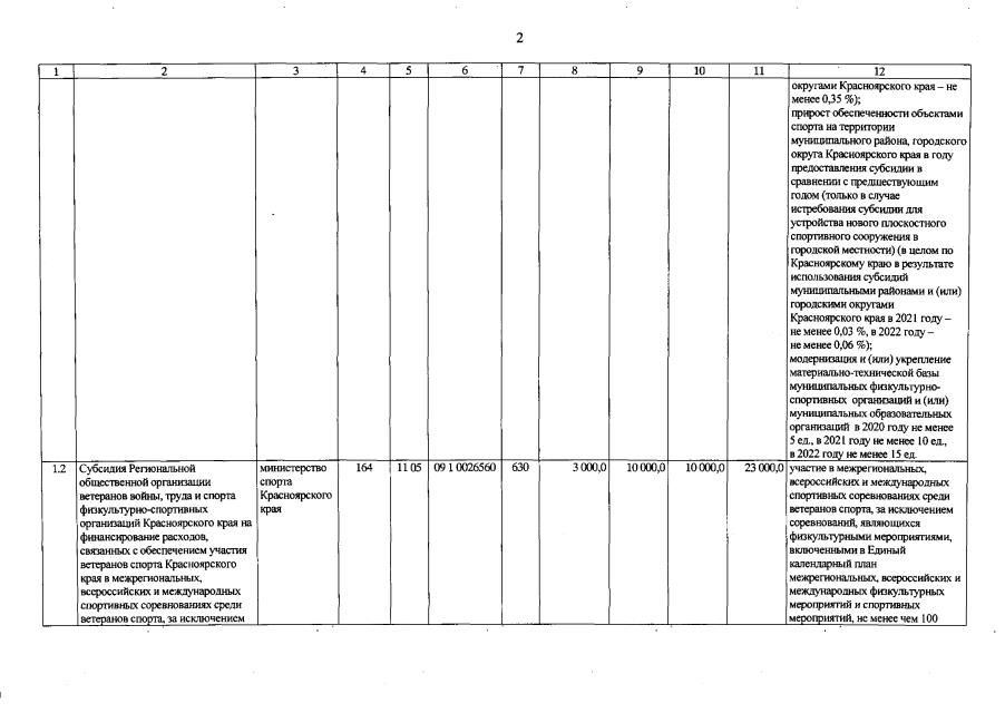
Постановление Правительства Красноярского края от 20.10.2020 № 743-п
"О внесении изменений в постановление Правительства Красноярского края от 30.09.2013 № 518-п "Об утверждении государственной программы Красноярского края "Развитие физической культуры и спорта"
Номер опубликования: 2400202011030001
Дата опубликования: 03.11.2020
Страница №20 из 47:
Увеличить