Официальное опубликование правовых актов
ОФИЦИАЛЬНОЕ ОПУБЛИКОВАНИЕ
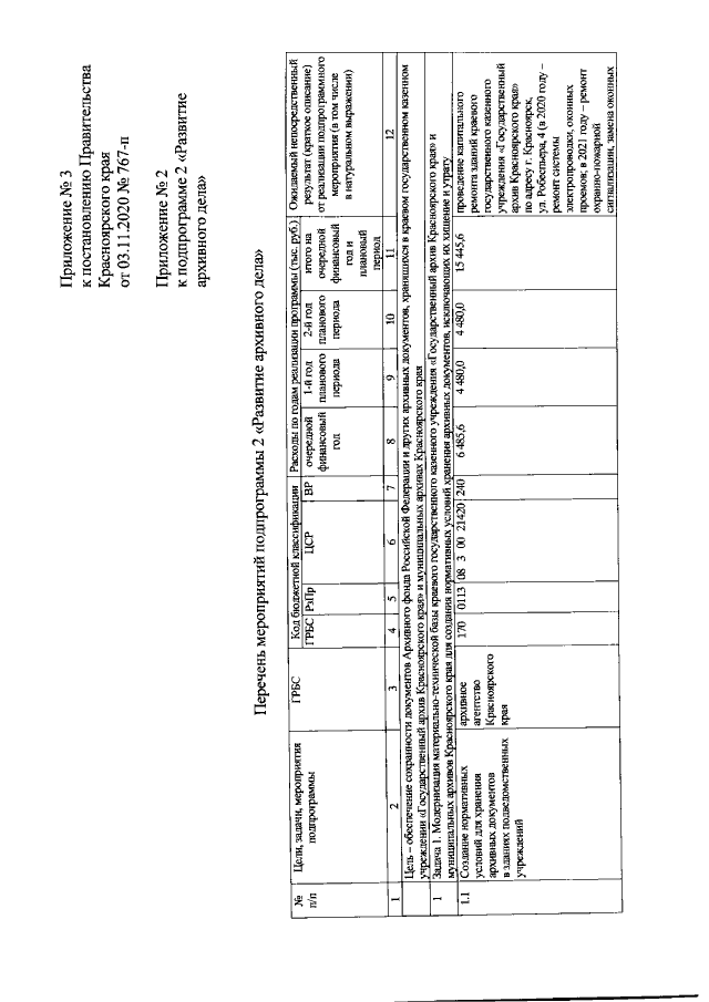
Постановление Правительства Красноярского края от 03.11.2020 № 767-п
"О внесении изменений в постановление Правительства Красноярского края от 30.09.2013 № 511-п "Об утверждении государственной программы Красноярского края "Развитие культуры и туризма"
Номер опубликования: 2400202011160004
Дата опубликования: 16.11.2020
Страница №26 из 55:
Увеличить