Официальное опубликование правовых актов
ОФИЦИАЛЬНОЕ ОПУБЛИКОВАНИЕ
Закон Красноярского края от 19.11.2020 № 10-4407
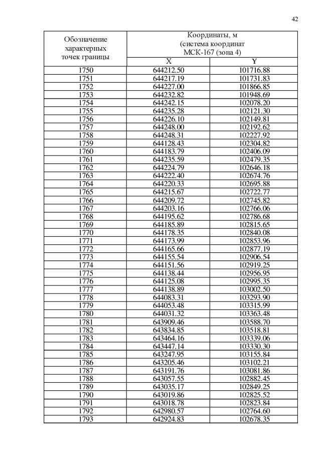
"О внесении изменений в Закон края "Об установлении границ муниципального образования город Красноярск" (принят Законодательным Собранием Красноярского края 19.11.2020, подписан Губернатором Красноярского края 07.12.2020)
Номер опубликования: 2400202012080009
Дата опубликования: 08.12.2020
Страница №42 из 93:
Увеличить