Официальное опубликование правовых актов
ОФИЦИАЛЬНОЕ ОПУБЛИКОВАНИЕ
Закон Красноярского края от 19.11.2020 № 10-4411
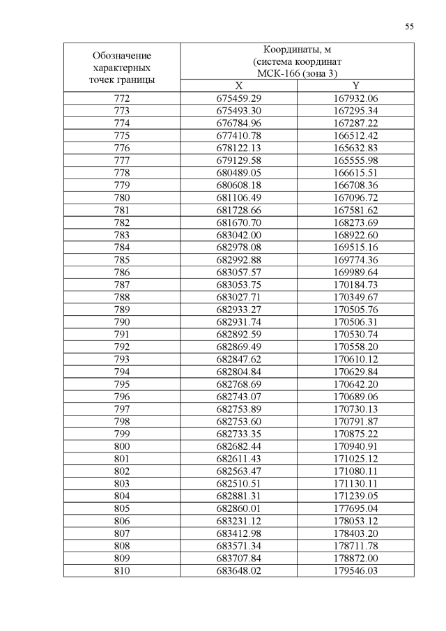
"О внесении изменений в Закон края "Об установлении границ и наделении соответствующим статусом муниципального образования Козульский район и находящихся в его границах иных муниципальных образований" (принят Законодательным Собранием Красноярского края 19.11.2020, подписан Губернатором Красноярского края 07.12.2020)
Номер опубликования: 2400202012100001
Дата опубликования: 10.12.2020
Страница №55 из 498:
Увеличить