Официальное опубликование правовых актов
ОФИЦИАЛЬНОЕ ОПУБЛИКОВАНИЕ
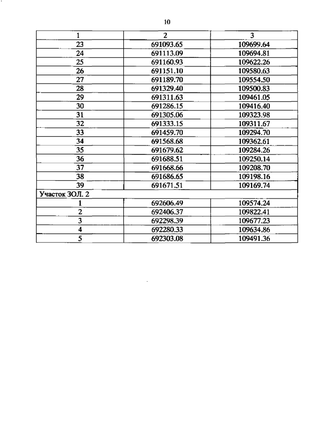
Постановление Правительства Красноярского края от 01.12.2020 № 817-п
"Об установлении зон охраны объекта культурного наследия федерального значения "Покровская церковь", 1830 г., расположенного в Сухобузимском районе Красноярского края, утверждении требований к градостроительным регламентам в границах территорий данных зон"
Номер опубликования: 2400202012100006
Дата опубликования: 10.12.2020
Страница №11 из 16:
Увеличить