Официальное опубликование правовых актов
ОФИЦИАЛЬНОЕ ОПУБЛИКОВАНИЕ
Постановление Правительства Красноярского края от 16.03.2021 № 138-п
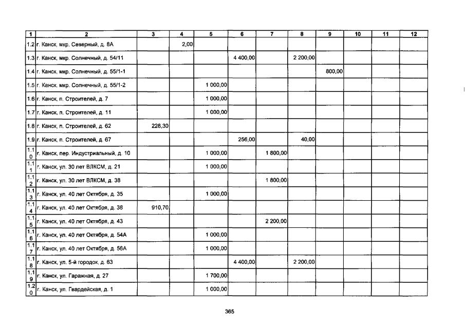
"О внесении изменений в постановление Правительства Красноярского края от 11.06.2019 № 303-п "Об утверждении краткосрочного плана реализации региональной программы капитального ремонта общего имущества в многоквартирных домах, расположенных на территории Красноярского края, утвержденной постановлением Правительства Красноярского края от 27.12.2013 № 709-п, на 2020–2022 годы"
Номер опубликования: 2400202103260003
Дата опубликования: 26.03.2021
Страница №772 из 1618:
Увеличить