Официальное опубликование правовых актов
ОФИЦИАЛЬНОЕ ОПУБЛИКОВАНИЕ
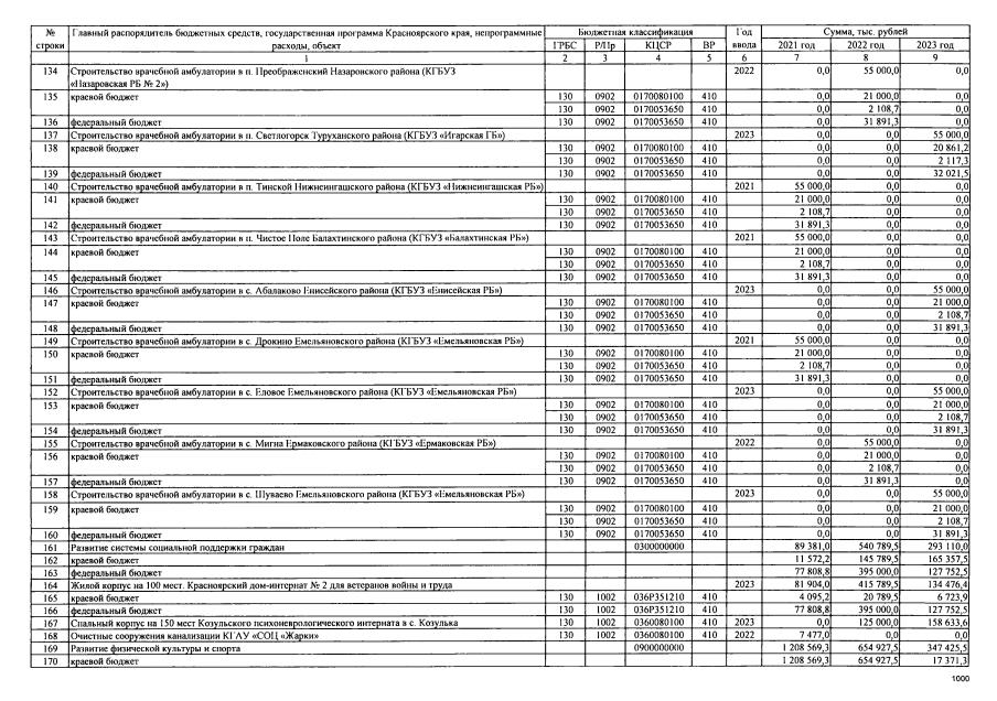
Закон Красноярского края от 22.04.2021 № 11-4907
"О внесении изменений в Закон края "О краевом бюджете на 2021 год и плановый период 2022-2023 годов" (принят Законодательным Собранием Красноярского края 22.04.2021, подписан Губернатором Красноярского края 11.05.2021)
Номер опубликования: 2400202105170009
Дата опубликования: 17.05.2021
Страница №900 из 912:
Увеличить