Официальное опубликование правовых актов
ОФИЦИАЛЬНОЕ ОПУБЛИКОВАНИЕ
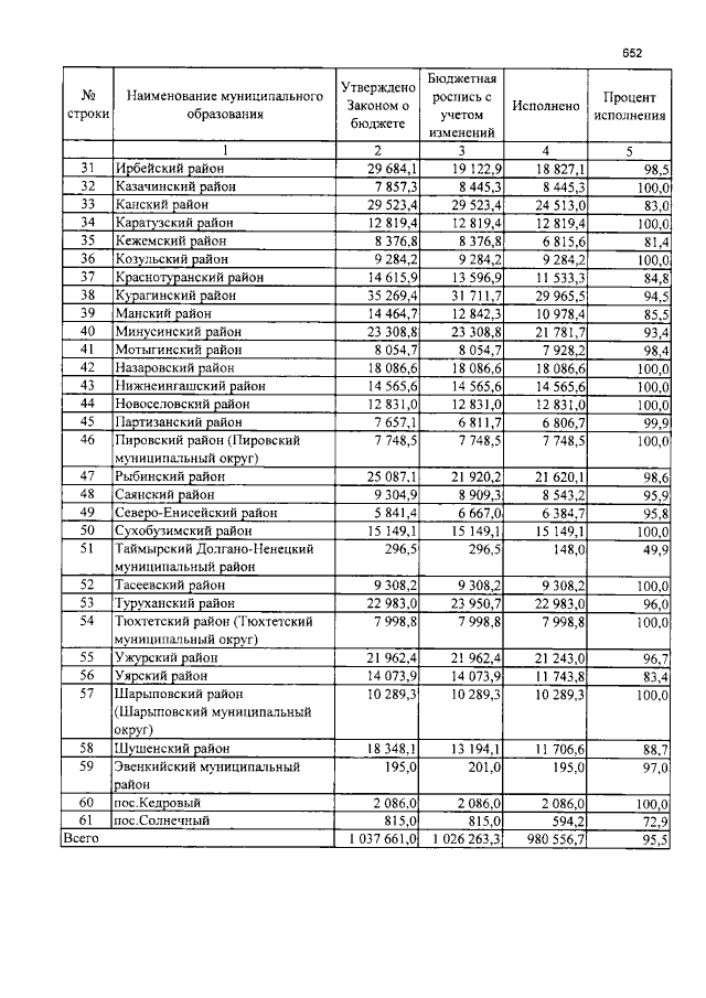
Закон Красноярского края от 08.07.2021 № 11-5243
"Об исполнении краевого бюджета за 2020 год" (принят Законодательным Собранием Красноярского края 08.07.2021, подписан Губернатором Красноярского края 20.07.2021)
Номер опубликования: 2400202107230005
Дата опубликования: 23.07.2021
Страница №652 из 758:
Увеличить