Официальное опубликование правовых актов
ОФИЦИАЛЬНОЕ ОПУБЛИКОВАНИЕ
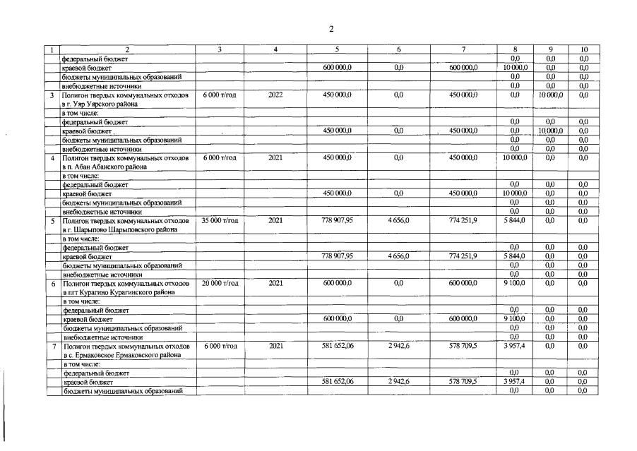
Постановление Правительства Красноярского края от 27.07.2021 № 523-п
"О внесении изменений в постановление Правительства Красноярского края от 30.09.2013 № 512-п "Об утверждении государственной программы Красноярского края "Охрана окружающей среды, воспроизводство природных ресурсов"
Номер опубликования: 2400202108050004
Дата опубликования: 05.08.2021
Страница №26 из 37:
Увеличить