Официальное опубликование правовых актов
ОФИЦИАЛЬНОЕ ОПУБЛИКОВАНИЕ
Постановление Правительства Красноярского края от 17.08.2021 № 566-п
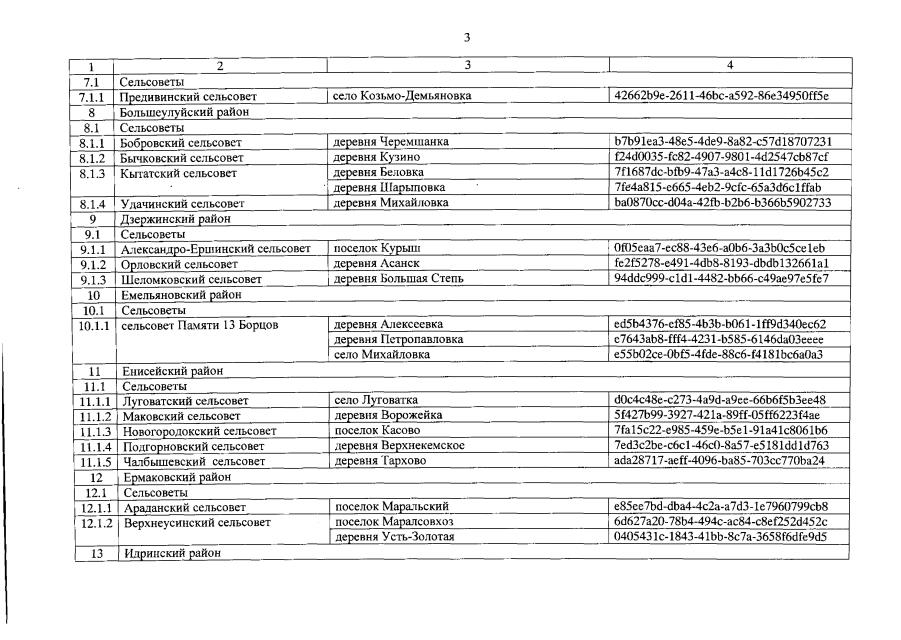
"О внесении изменения в постановление Правительства Красноярского края от 04.02.2020 № 76-п "Об утверждении Перечня населенных пунктов Красноярского края, в которых отсутствует доступ к информационно-телекоммуникационной сети Интернет, в том числе точка доступа, определенная в соответствии с Федеральным законом от 07.07.2003 № 126-ФЗ "О связи"
Номер опубликования: 2400202108270004
Дата опубликования: 27.08.2021
Страница №4 из 9:
Увеличить