Официальное опубликование правовых актов
ОФИЦИАЛЬНОЕ ОПУБЛИКОВАНИЕ
Постановление Правительства Красноярского края от 21.12.2021 № 906-п
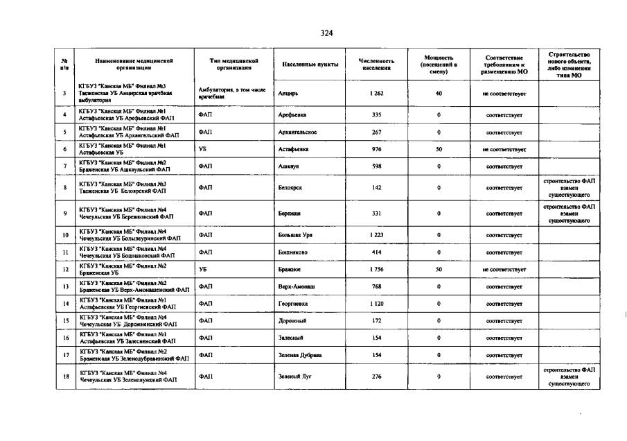
"О внесении изменения в постановление Правительства Красноярского края от 15.12.2020 № 855-п "Об утверждении региональной программы Красноярского края "Модернизация первичного звена государственной системы здравоохранения Красноярского края"
Номер опубликования: 2400202112270001
Дата опубликования: 27.12.2021
Страница №362 из 1111:
Увеличить