Официальное опубликование правовых актов
ОФИЦИАЛЬНОЕ ОПУБЛИКОВАНИЕ
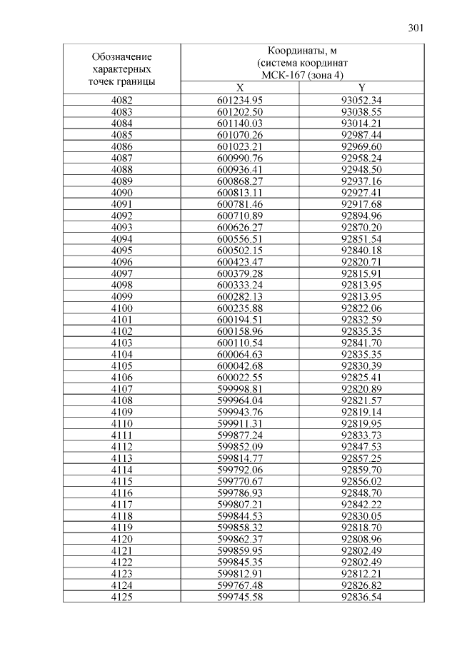
Закон Красноярского края от 09.12.2021 № 2-270
"О внесении изменений в Закон края "Об установлении границ и наделении соответствующим статусом муниципального образования Березовский район и находящихся в его границах иных муниципальных образований" (принят Законодательным Собранием Красноярского края 09.12.2021, подписан Губернатором Красноярского края 24.12.2021)
Номер опубликования: 2400202112290006
Дата опубликования: 29.12.2021
Страница №301 из 539:
Увеличить