Официальное опубликование правовых актов
ОФИЦИАЛЬНОЕ ОПУБЛИКОВАНИЕ
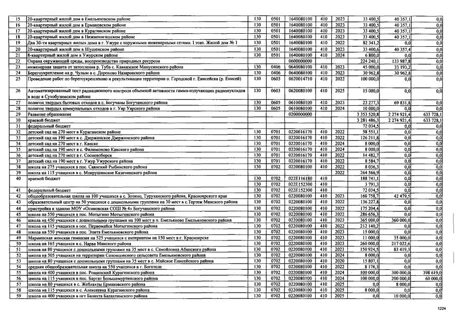
Закон Красноярского края от 09.12.2021 № 2-255
"О краевом бюджете на 2022 год и плановый период 2023–2024 годов (принят Законодательным Собранием Красноярского края 09.12.2021, подписан Губернатором Красноярского края 24.12.2021)
Номер опубликования: 2400202112290011
Дата опубликования: 29.12.2021
Страница №1224 из 1237:
Увеличить